Summary
Discrete Riccati Equation: an equation that governs the covariance given .
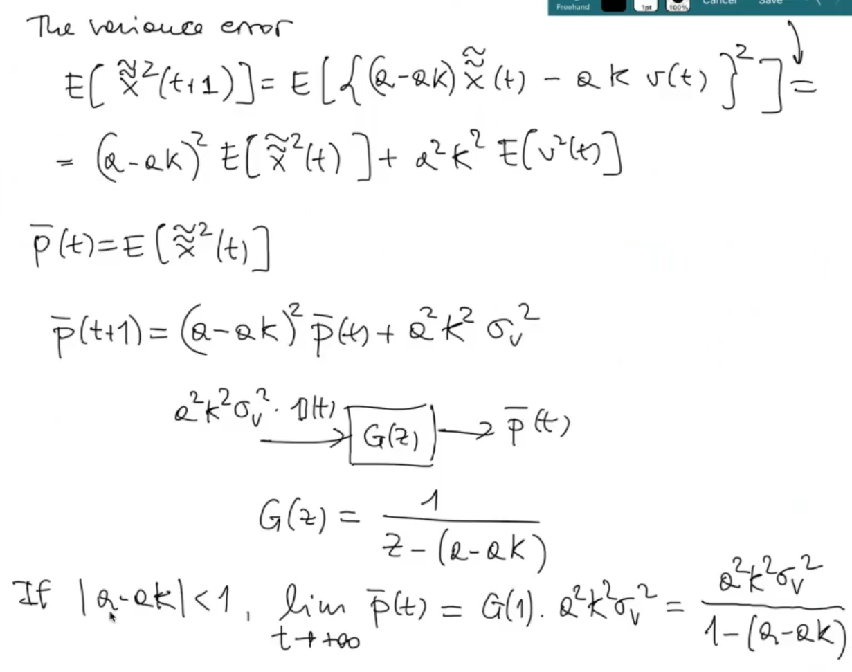
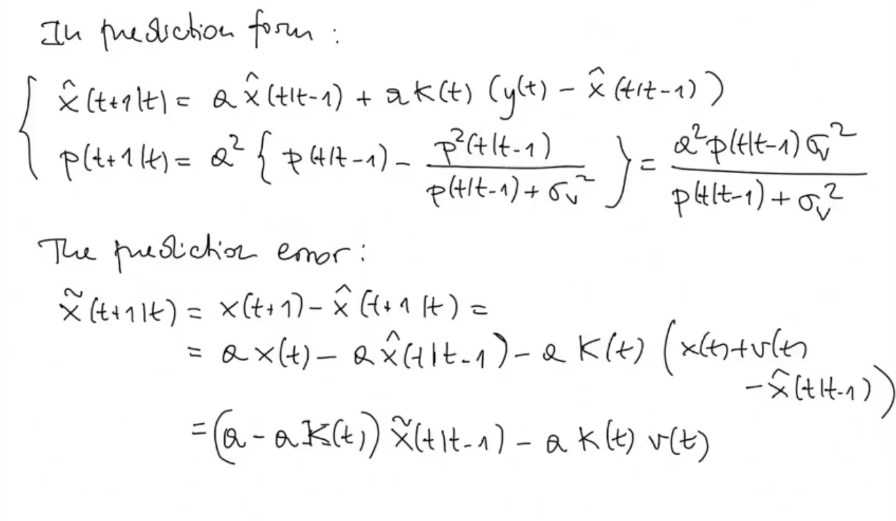
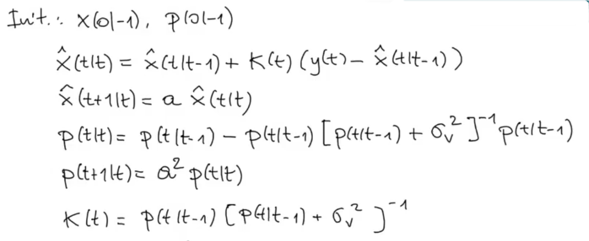
If we “compress” the whole KF algorithm of the following model:
where: into 2 equation, we obtain:
We defined this equation:
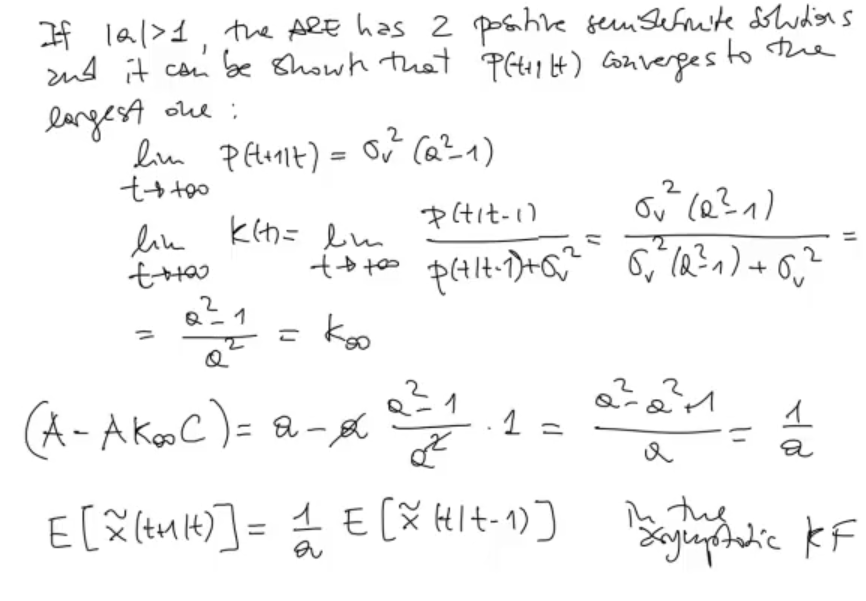
as the Discrete Riccati Equation (for this particular model) and we analyzed what would happen for , we defined the following as the “Algebric Riccati Equation”:
and we found 2 solution.
- (which it will assume if , the system is asymptotically stable, given by a theorem)
- (which it will assume if , the system is unstable)

TODO What does detectable mean ? #TODO What does stabilizable mean ?


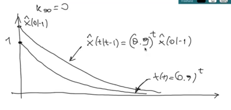
Prediction using an LTI Filter (not good):

LTI Filters using 2 different constant (which is bad, while in the KF, varies with each iteration, this graph does not show a KF)
#TODO If there is time describe the graphs.
