Recap of Lecture 1
→ SI&DA - Lecture 1 ‘Recap of Random Variables (RVs) - Part I’

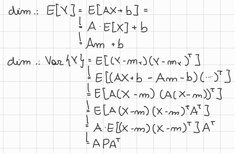
SI&DA - Theorem 'Affine RV'
Theorem ‘Affine RV’
Where: → is the mean of → is the variance of
NOTE: This is also true for even if is not Gaussian, still the affine RV will be a Gaussian Distribution
Dim:
Link to original
SI&DA - Definition of 'Cross-Covariance'
Definition of ‘Cross-Covariance’
Link to original
SI&DA - Property of Multivariate Gaussian RVs
Property of Multivariate Gaussian RVs
→ SI&DA - Multivariate Distributions → SI&DA - Gaussian Random Variables
Given and such that:
Where: Variance of Variance of Cross-Covariance of and Cross-Covariance of of and
→ Then:
Link to original
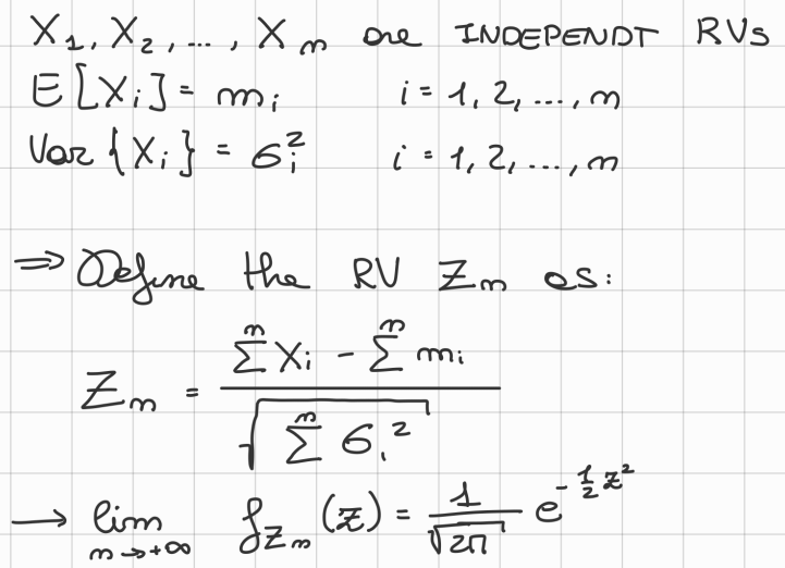
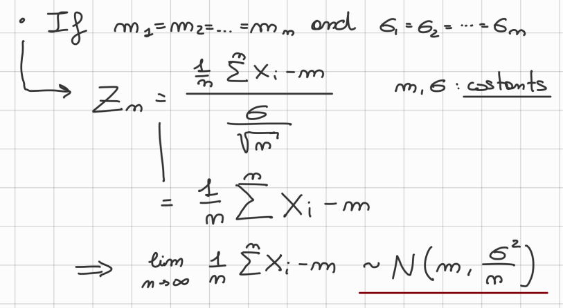
SI&DA - Central Limit Theorem
Central Limit Theorem
Other Definition: DES - Central Limit Theorem
→ SI&DA - Definition of ‘Independent Random Variables’ → SI&DA - Mean & Variance → SI&DA - Gaussian Random Variables
![]()
![]()
RESULT:
Link to original
~Ex.: Homework (1)
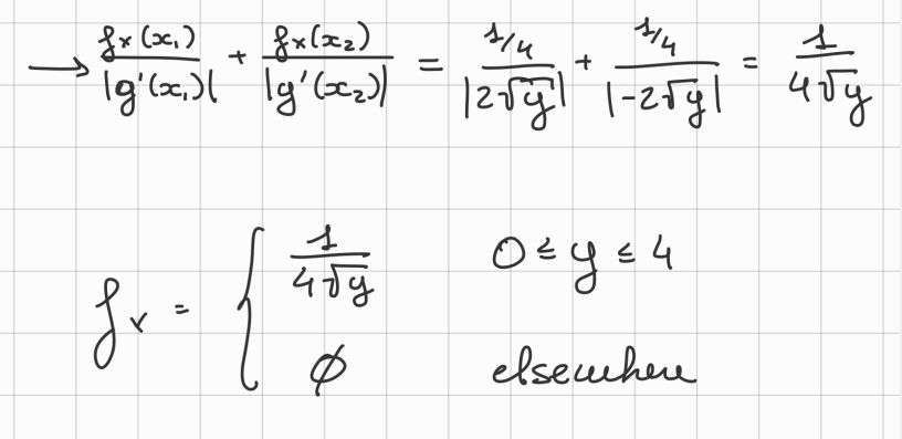
SI&DA - Functions of RVs
Functions of RVs
![]()
~Ex.:
![]()
![]()
~Ex.:
Link to original
![]()
![]()
![]()
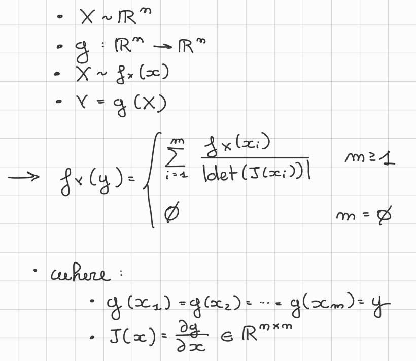
SI&DA - Multivariate Functions of RVs
Multivariate Functions of RVs
→ SI&DA - Multivariate Functions of RVs (Linear Case)
Link to original
SI&DA - Multivariate Functions of RVs (Linear Case)
Multivariate Functions of RVs (Linear Case)
~Ex.:
Link to original
![]()
Where:












/../../Notes--and--Images/Pasted-image-20220411111414.png)
/../../Notes--and--Images/Pasted-image-20220411111636.png)
