: regressor
→ In case of ARX models the regressor does not depend on the unknown “parameter vector”
→ In case of the other models, it does depend on it.
Where:
- : max value of ,
- : Is the data set
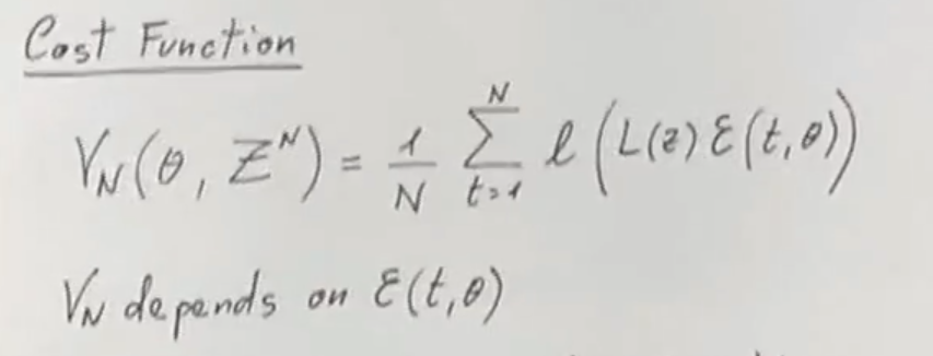
- So is the Data Set up to time .
(In this case it’s a least square function)
The filter applied to the prediction error is the same as filtering both output () and input ().
We can see as a single filter.
A reason to design could be if we are not interested in high frequency error, for example our system could have no response to high frequency input, then we could design as a low pass filter, or another more general, example could be that we are just interested in a specific band of the system (pass-band filter).
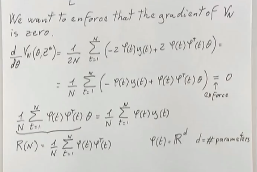
We can create an ARX cost function as:
Then we will have that:
Also remember that

Where in the last formula we can see:

