Summary
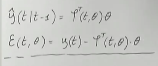
The prediction error at time depending on the parametric vector is equal to:
Can be written in 2 ways:
Where the 1° one is related to ARX models, where the regressor does not depend on the parametric vector . While the 2° one is related to ARMAX, OE, BJ models, and (which depends on ) is called pseudo-regressor.
Choosing the Best Model
→ We have to predict the stochastic term.
So to calculate the stochastic term we make use of the data set up to time , then to remove the stochastic term from we consider its mean.
We may right the cost function which depends on as a function that depends on and after all, is calculate using those two arguments.
Of course, we define the optimal parameter vector as the one that minimizes the cost function or .
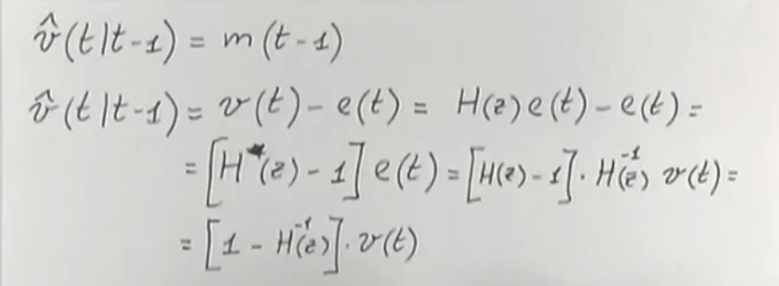
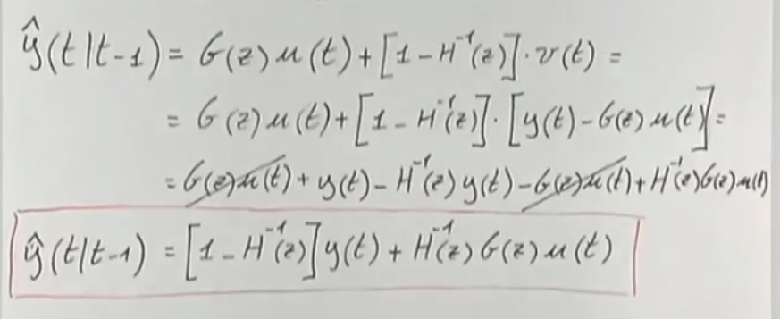
How can I predict the output ?
First we assume that is given by the following function:
You can thing of as the filtered noise, while is a generic stochastic preocess.
→ Inversely Stable: means that all zeros and poles of lie inside the unit circle.
So:
Where you have to remember that is unpredictable
Then, since e(t) is unpredictable our best bet is to predict as:

Now we can calculate the prediction :

- will not have constant terms, also it’s grade will be at least (or less , So will depend only on past term of
- The same also holds for
The error will be

That will depend both on and

→ We will choose such that we can minimize the previous cost function.
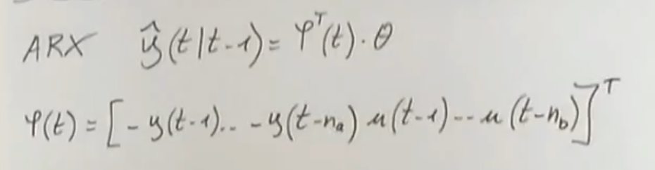
ARX Model (Error Function)
→TODO [ARX Model]

Remember that this is the structure of the ARX Model

So we have that:

And is of the form: (already seen)

We can define the regressor vector as:

Such that:
→ Nothing changed from the explicit formula, it’s just much more compact

NOTE: The error is linear in
ARMAX Model (Error Function)

We can write the regressor as:
→ pseudo-regressor because it depends on
RESULT:
→ Differently fromTODO [ARX Model (Error Function)] it is non-linear in
OE Model (Error Function)

The pseudo-regressor is:
→ pseudo-regressor because depends on , and so does
→
→ Like [ARMAX Model (Error Function)] the is non-linear in
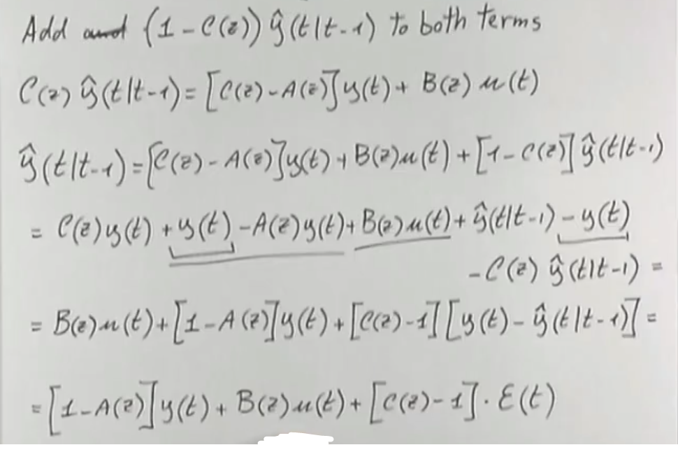
Paradox of the Optimal Prediction

- To know the prediction of we need ,
- But to know the prediction of we need ,
- And so on …
→ Both the input and output starting from time (or ) up to are known (i can measure them)
While for theTODO [OE Model (Error Function)] the pseudo-regressor depends on the past predictions which depend on all the past outputs (starting from ) so like for theTODO [ARMAX Model (Error Function)] the problem stands.