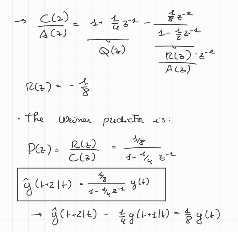
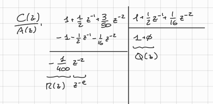
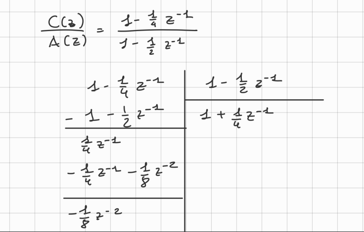
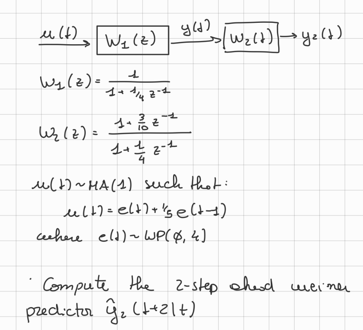
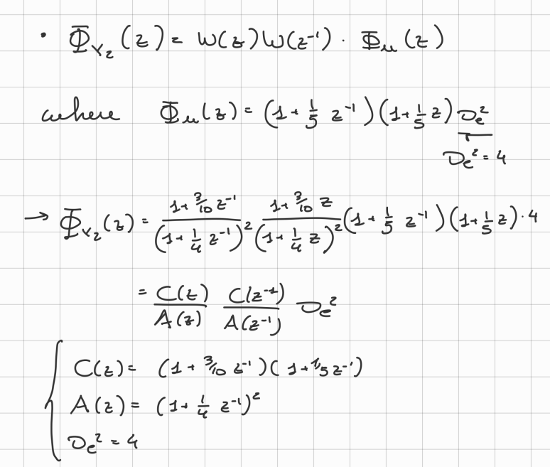
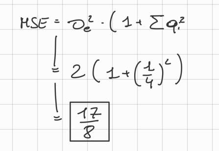
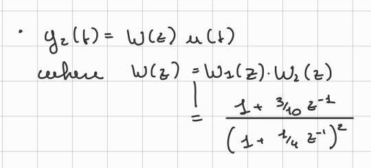
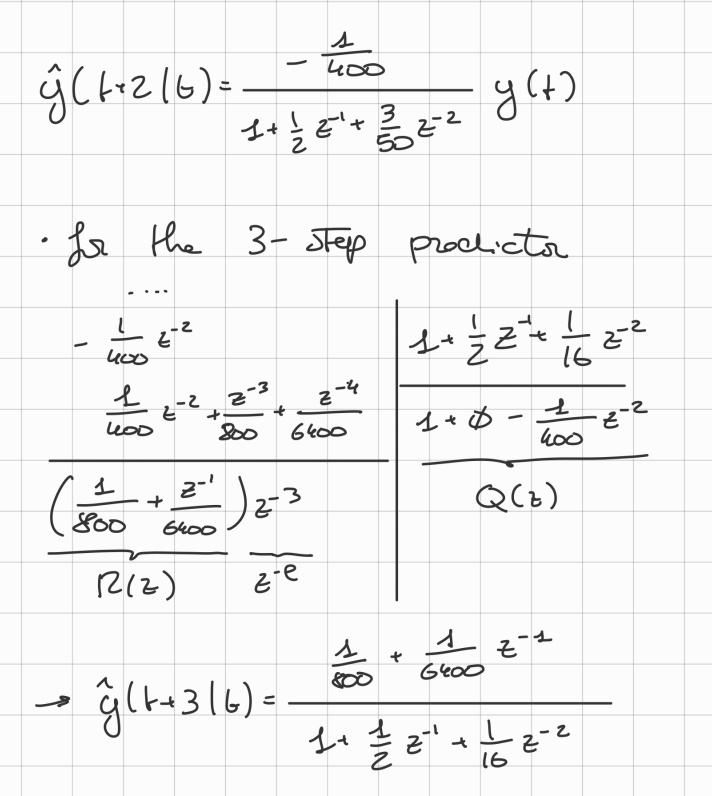
Professor Notes notes_timeseries.pdf homework_timeseries.pdf Time Series Prediction Spectral Factorization (We can substitute e(t)=C(z)A(z)⋅y(t) because the roots of C(z) are inside the unit circle) Prediction Error ~Ex.: ~Ex.: