Definition of ‘Moving Average (MA) SP’


~Ex.:


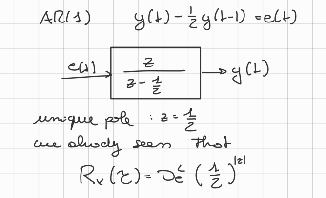
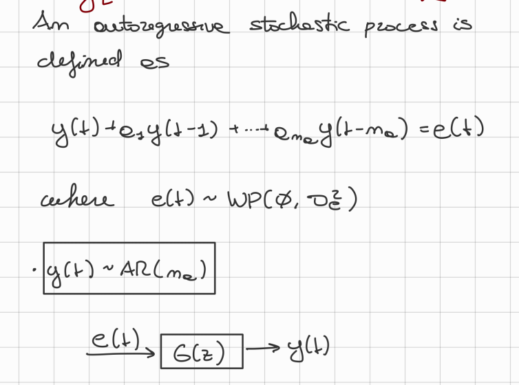
Definition of ‘Auto-regressive (AR) SP’


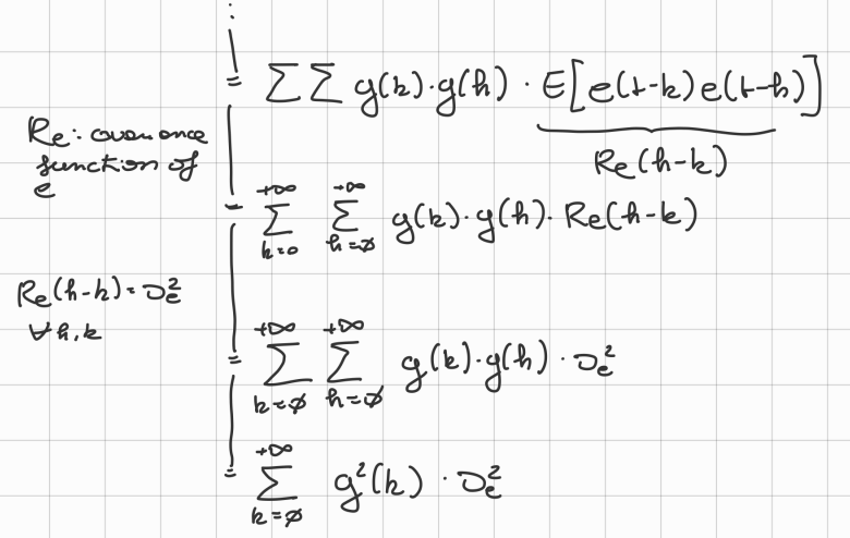
~Ex.:

SIandDAHomework



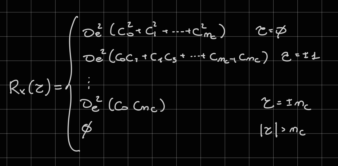
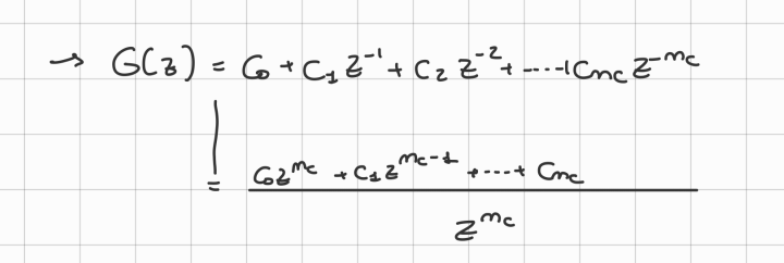
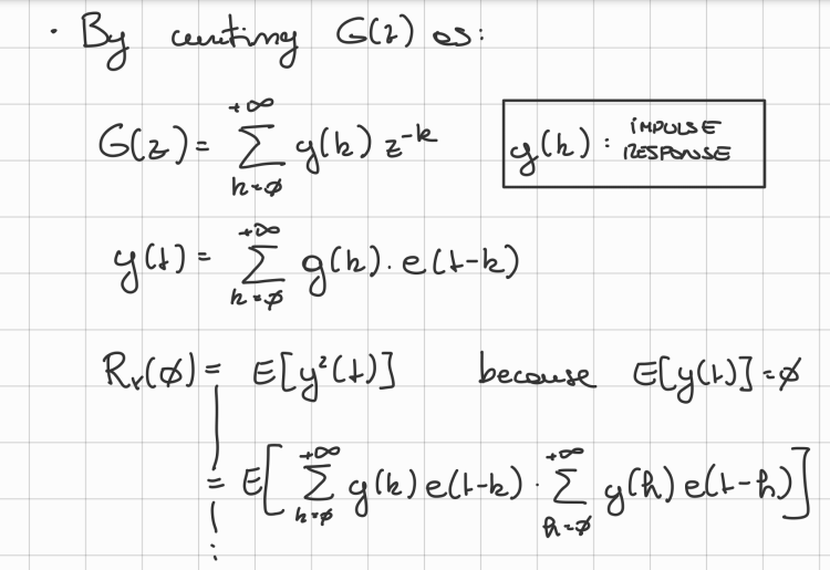
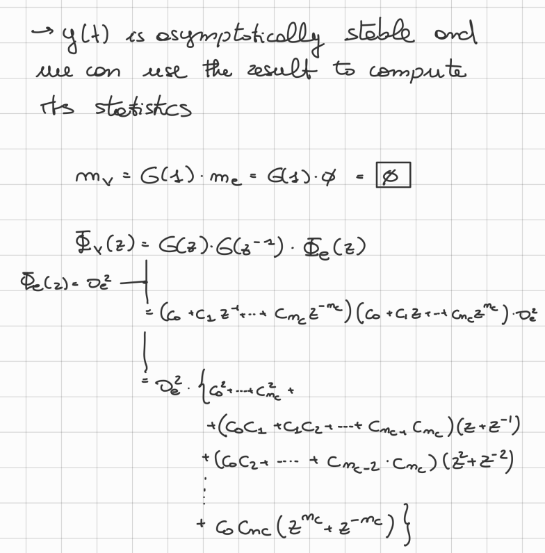
~Ex.:


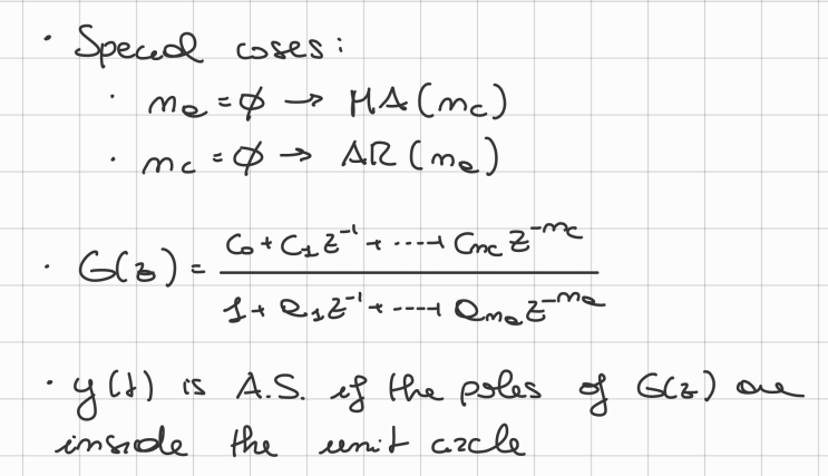
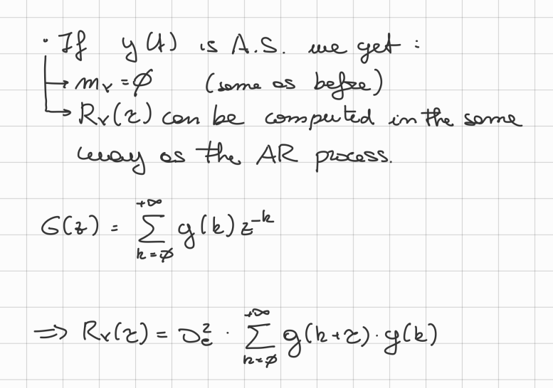
Definition of ‘Auto-regressive Moving Average (ARMA) SP’