Properties of the Spectrum, Spectral Density and Cross-Spectrum


~Ex.:


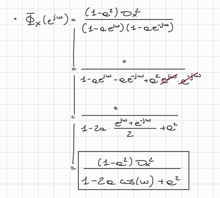
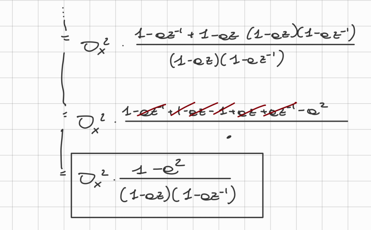
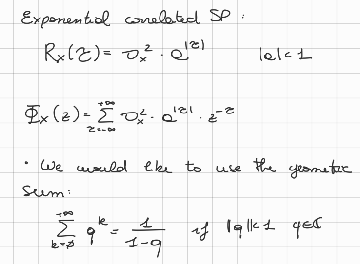
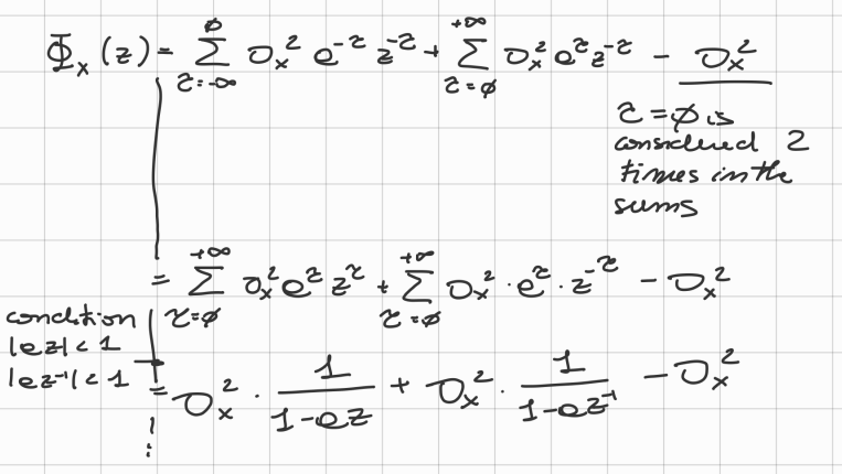
~Ex.:


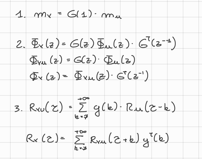
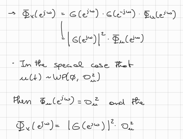
A General Result for Linear Stochastic Systems


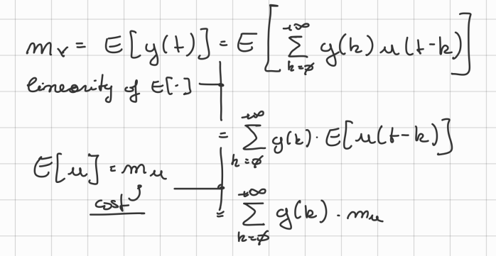
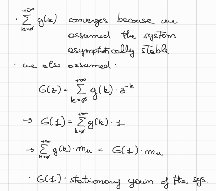
Proof of Point 1.


Proof of Point 2.