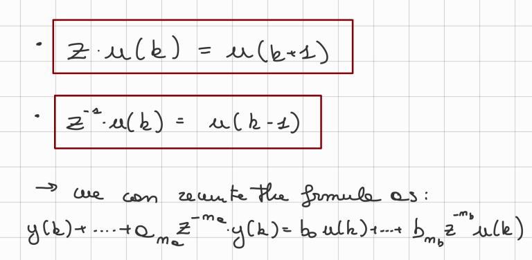
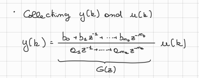
Linear Stochastic Systems


~Ex.: 1st Order System


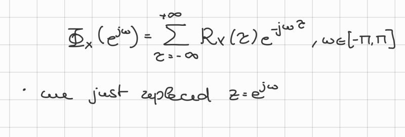
Definition of ‘Spectrum’


Definition of ‘Spectral Density’


Definition of ‘Cross-Spectrum’