Definition of ‘Joint Stationarity’

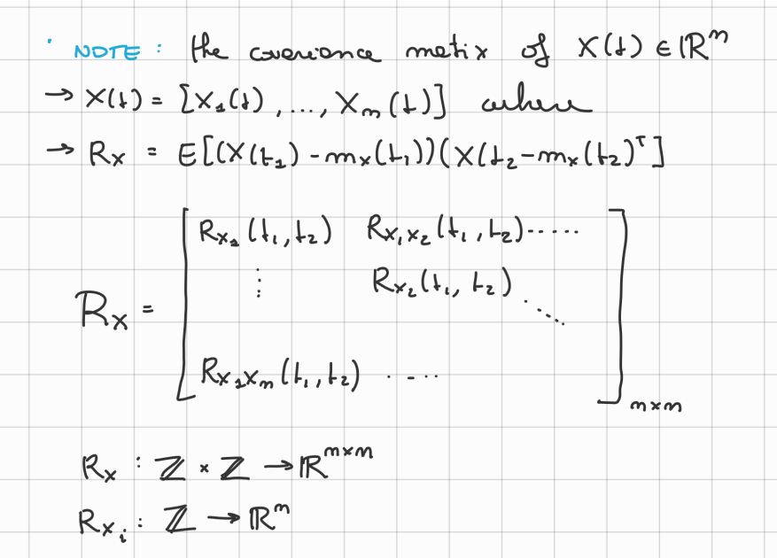
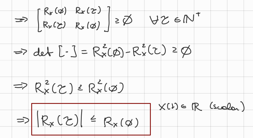
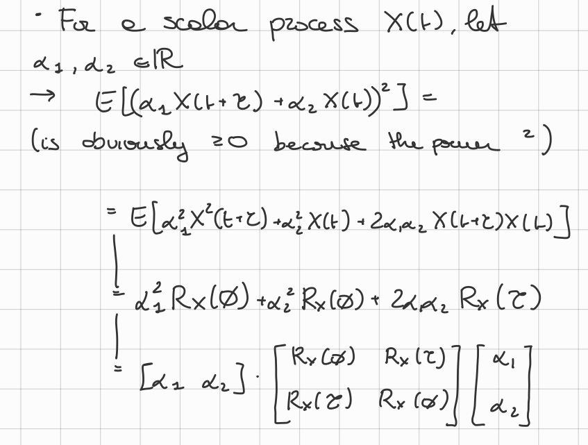
Properties of the Covariance Matrix of SPs

Definition of ‘Normalized Covariance’

~Examples of SPs.

~Ex.:
Definition of ‘White SP’

Definition of ‘Wiener Process (or Brownian Motion)’

~Ex.:

Definition of ‘Exponentially Correlated SPs’

NOTE: The following graph is not the plot of but of

