Professor Notes
SI&DA - Professor Links
Professor Links
Link to original
- LaTeX Tutorial (includes Installation, Quick Start, Commands, etc.)
- MATLAB download site (create an account using your UNISI email address. Be sure to install the System Identification Toolbox and the Signal Processing Toolbox)
- A quick tutorial for dynamic system analysis and simulation with MATLAB (in Italian)
- Notes of an old course version
- Introduction to linear algebra
- Probability and statistics (in Italian)
- Dynamic systems (in Italian)
SI&DA - Definition of 'CDF (Cumulative Distribution Function)'
Definition of ‘CDF (Cumulative Distribution Function)’
Other Definition: DES - (CDF) Cumulative Distribution Function
Link to original
SI&DA - Definition of 'PDF (Probability Density Function)'
Definition of ‘PDF (Probability Density Function)’
Other Definition: DES - (PDF) Probability Distribution Function
→ SI&DA - Definition of ‘CDF (Cumulative Distribution Function)’
~ Ex.: Uniform PDF
~Ex.: Gaussian PDF (or Normal)
Link to original
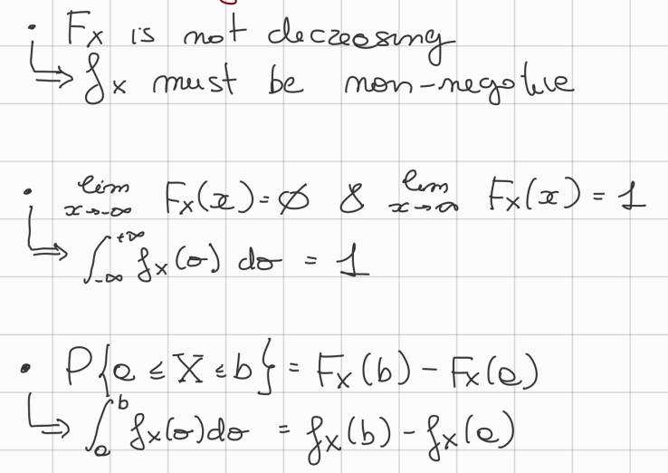
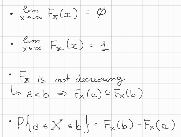
SI&DA - Properties of the CDF and PDF
Properties of the CDF and PDF
→ SI&DA - Definition of ‘CDF (Cumulative Distribution Function)’ → SI&DA - Definition of ‘PDF (Probability Density Function)’
![]()
~Ex.: CDF and PDF of a Coin Toss
Link to original
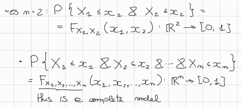
SI&DA - Multivariate Distributions
Multivariate Distributions
To know everything about a multivariate distribution model we also need every possible combination of its joint CDFs : → In the particular case of 2 distributions as seen above, to have a complete model we still need the joint CDF .
Properties of Multivariate CDF
→ SI&DA - Definition of ‘CDF (Cumulative Distribution Function)’
Link to original
SI&DA - Definition of 'Joint CDF'
Definition of ‘Joint CDF’
Link to original
SI&DA - Definition of 'Joint PDF'
Definition of ‘Joint PDF’
Link to original
SI&DA - CDF of a Generic Surface
CDF of a Generic Surface
Link to original
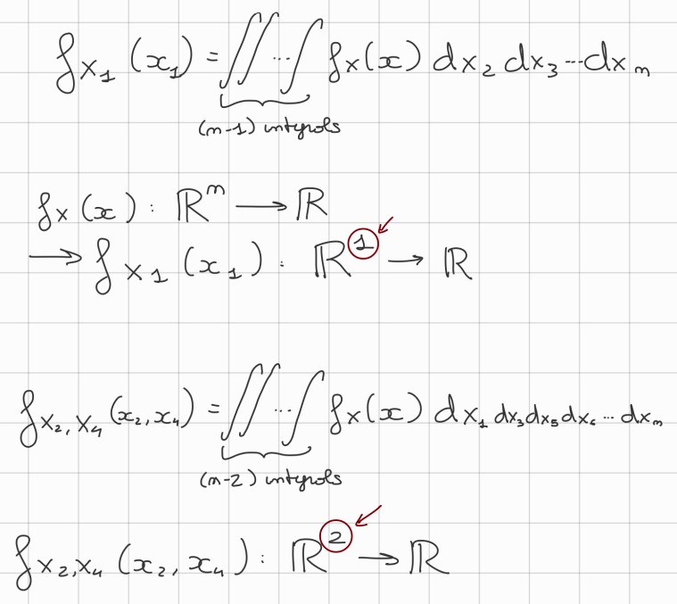
SI&DA - Definition of 'Marginal PDF'
Definition of ‘Marginal PDF’
Link to original
SI&DA - Mean & Variance
Mean & Variance
→ SI&DA - Definition of ‘CDF (Cumulative Distribution Function)’ → SI&DA - Definition of ‘PDF (Probability Density Function)’
The Mean is defined as:
The Variance is defined as:
Link to original
SI&DA - Definition of 'Confidence Interval'
Definition of ‘Confidence Interval’
Given a RV: with mean and variance we define the ** - confidence interval\alpha_k$) as:
As we can see for the Gaussian Distribution we can say that the 3-confidence interval is over 99% → This means that we are 99.7% sure that an observation of this Random Process will fall into the 3 interval range centred in the mean of the process ()
Link to original
SI&DA - Mean of a Vector of RVs
Mean of a Vector of RVs
Link to original
SI&DA - Definition of 'Covariance Matrix'
Definition of ‘Covariance Matrix’
→ SI&DA - Definition of ‘CDF (Cumulative Distribution Function)’ → SI&DA - Definition of ‘PDF (Probability Density Function)’ → SI&DA - Mean & Variance
Link to original
![]()
SI&DA - Definition of 'Independent Random Variables'
Definition of ‘Independent Random Variables’
→ SI&DA - Definition of ‘Joint PDF’
Link to original
SI&DA - Definition of 'Uncorrelated Random Variables'
Definition of ‘Uncorrelated Random Variables’
→ SI&DA - Definition of ‘Covariance Matrix’
Link to original
SI&DA - Theorem 'Independent RVs are also Uncorrelated'
Theorem ‘Independent RVs are also Uncorrelated’
→ SI&DA - Definition of ‘Independent Random Variables’ → SI&DA - Definition of ‘Uncorrelated Random Variables’
Link to original
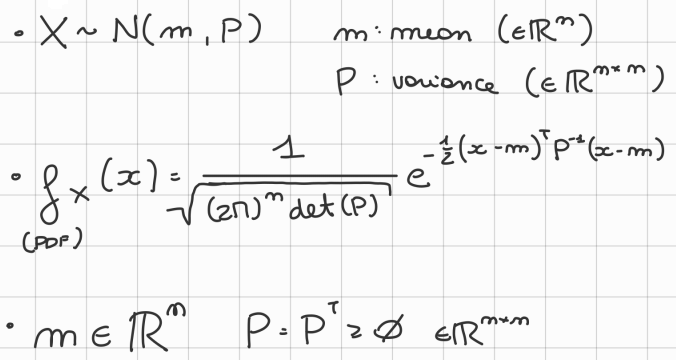
SI&DA - Gaussian Random Variables
Gaussian RVs
Properties of Gaussian RVs
~Ex.: Gaussian PDF (or Normal)
Link to original
SI&DA - Theorem 'Independent or Uncorrelated Gaussian RVs'
Theorem ‘Independent or Uncorrelated Gaussian RVs’
→ SI&DA - Gaussian Random Variables → SI&DA - Definition of ‘Independent Random Variables’ → SI&DA - Definition of ‘Uncorrelated Random Variables’
→ Normally for RVs it true only the forward () case as shown in this theorem.
Link to original
'/../../Notes--and--Images/Pasted-image-20220411104020.png)
'/../../Notes--and--Images/Pasted-image-20220411104137.png)
'/../../Notes--and--Images/Pasted-image-20220411104709.png)
'/../../Notes--and--Images/Pasted-image-20220411104438.png)



















