🪴 Quartz 4.0
Search
Search
Search
Dark mode
Light mode
Explorer
Notes & Images
Application of the KF
Asymptotic Properties of the KF
C-D EKF Algorithm
C-D KF Algorithm
Definition of the Sigma Points
DES - (PDF) Probability Distribution Function
DES - Central Limit Theorem
DES - Definition of 'Chain'
DES - Definition of 'Expected Value'
DES - Definition of 'Independent Stochastic Process'
DES - Definition of 'Markov Process'
DES - Definition of 'Stochastic Process'
DES - Definition of 'Variance'
DES - Exponential Distribution
DES - Law of Large Numbers
DES - Uniform Distribution
Differences between the KF and an LTI Filter
Drawbacks of the EKF
EKF Algorithm
HCR - Lagrangian Theorem
Initialization Properties of the KF Algorithm
Kalman Filters Table
KF Algorithm
KF with non-White Disturbances
Limit of the Discrete Lyapunov Equation
Mathematical Steps to Obtain the EKF Algorithm
Mathematical Steps to Obtain the KF Algorithm
Mathematical Steps to Obtain the Solution of an LTI Estimation Problem
Mean & Covariance of the PF
Observation on the EKF
P&S - Definition of 'Combinations'
PF Algorithm
Properties of the KF
RLS 'Recursive Least Squares' Algorithm
SI&DA - A General Result for Linear Stochastic Systems
SI&DA - CDF of a Generic Surface
SI&DA - Central Limit Theorem
SI&DA - Characteristic Polynomial
Si&DA - Cheat Sheet - Part 1
Si&DA - Cheat Sheet - Part 2
SI&DA - Conditional PDF for Gaussian RVs
SI&DA - Definition of 'Auto-regressive (AR) SP'
SI&DA - Definition of 'Auto-regressive Moving Average (ARMA) SP'
SI&DA - Definition of 'Bayes Risk Function'
SI&DA - Definition of 'BLUE (Best Linear Unbiased Estimator)'
SI&DA - Definition of 'CDF (Cumulative Distribution Function)'
SI&DA - Definition of 'Conditional Distribution'
SI&DA - Definition of 'Conditional Mean'
SI&DA - Definition of 'Conditional Variance and Covariance'
SI&DA - Definition of 'Confidence Interval'
SI&DA - Definition of 'Consistent Estimator'
SI&DA - Definition of 'Covariance Matrix'
SI&DA - Definition of 'Cross-Covariance'
SI&DA - Definition of 'Cross-Spectrum'
SI&DA - Definition of 'Efficient Estimator'
SI&DA - Definition of 'Estimator'
SI&DA - Definition of 'Exponentially Correlated SPs'
SI&DA - Definition of 'Independent Random Variables'
SI&DA - Definition of 'Joint CDF'
SI&DA - Definition of 'Joint PDF'
SI&DA - Definition of 'Joint Stationarity'
SI&DA - Definition of 'Linear Minimum Square Error Estimator'
SI&DA - Definition of 'Logarithmic Likelihood Function'
SI&DA - Definition of 'Marginal PDF'
SI&DA - Definition of 'Maximum Likelihood (ML) Estimators'
SI&DA - Definition of 'Minimum Square Error Estimator'
SI&DA - Definition of 'Moving Average (MA) SP'
SI&DA - Definition of 'MSE (Mean Square Error)'
SI&DA - Definition of 'MSE Estimator Comparison'
SI&DA - Definition of 'Normalized Covariance'
SI&DA - Definition of 'PDF (Probability Density Function)'
SI&DA - Definition of 'Purely Deterministic SP'
SI&DA - Definition of 'Spectral Density'
SI&DA - Definition of 'Spectrum'
SI&DA - Definition of 'Stochastic Process'
SI&DA - Definition of 'Strong Stationarity'
SI&DA - Definition of 'Unbiased Estimator'
SI&DA - Definition of 'Uncorrelated Random Variables'
SI&DA - Definition of 'Uniformly Minimum Variance Unbiased Estimator (UMVUE)'
SI&DA - Definition of 'Weak Stationarity'
SI&DA - Definition of 'White SP'
SI&DA - Definition of 'Wiener Process (or Brownian Motion)'
SI&DA - Difference between Random Variable and Realization of a Stochastic Process
SI&DA - Difference from Parametric and Bayesian Estimation
SI&DA - Discrete solution to the Linear Minimum Square Error Estimate
SI&DA - Estimation Problem
SI&DA - First and Second Order Statistics
SI&DA - Free and Forced Response of the System
SI&DA - Functions of RVs
SI&DA - Gaussian Random Variables
SI&DA - k-Step Ahead Prediction Error
SI&DA - k-Step Ahead Predictor
SI&DA - Lecture 1 'Recap of Random Variables (RVs) - Part I'
SI&DA - Lecture 2 'Recap of Random Variables (RVs) - Part II'
SI&DA - Lecture 3 'Recap of Conditional Distributions'
SI&DA - Lecture 4 'Estimation Theory - Part I'
SI&DA - Lecture 5 'Estimation Theory - Part II'
SI&DA - Lecture 6 'Maximum Likelihood Method'
SI&DA - Lecture 7 'Linear Estimation Problems'
SI&DA - Lecture 8 'Bayesian Estimation'
SI&DA - Lecture 9 'Stochastic Processes'
SI&DA - Lecture 10 'Example of Stochastic Processes'
SI&DA - Lecture 11 'Linear Stochastic System'
SI&DA - Lecture 12 'Frequency Domain Analysis of Stochastic Systems'
SI&DA - Lecture 13 'MA AR and ARMA Processes'
SI&DA - Lecture 14 'Time Series Prediction'
SI&DA - Lecture 15 'System Identification'
SI&DA - Lecture 16 'LTI Models'
SI&DA - Lecture 17 'Model Selection Criteria'
SI&DA - Lecture 18 'Optimal Model Choice'
SI&DA - Lecture 19 'Model Validation - Part I'
SI&DA - Lecture 20 'Model Validation - Part II'
SI&DA - Lecture 21 'State Estimation Problem'
SI&DA - Lecture 22 'Derivation of the Kalman Filter - Part I'
SI&DA - Lecture 23 'Derivation of the Kalman Filter - Part II'
SI&DA - Lecture 24 'Properties of the Kalman Filter'
SI&DA - Lecture 25 'Asymptotic Behaviour of the Kalman Filter'
SI&DA - Lecture 26 'Applications for the Kalman Filter'
SI&DA - Lecture 27 'Recursive Parameter Estimation'
SI&DA - Lecture 28 'The Extended Kalman Filter'
SI&DA - Lecture 29 'The Continuous-Discrete Kalman Filter'
SI&DA - Lecture 30 'The Unscented Kalman Filter - from Online Resources'
SI&DA - Lecture 30 'The Unscented Kalman Filter'
SI&DA - Lecture 31 'The Particle Filter'
SI&DA - Linear Stochastic Systems
SI&DA - Matrix Derivatives
SI&DA - Mean & Variance
SI&DA - Mean of a Vector of RVs
SI&DA - Multivariate Distributions
SI&DA - Multivariate Functions of RVs
SI&DA - Multivariate Functions of RVs (Linear Case)
SI&DA - Parametric Estimation
SI&DA - Professor Links
SI&DA - Properties of Multivariate PDF
SI&DA - Properties of the CDF and PDF
SI&DA - Properties of the Covariance Matrix of SPs
SI&DA - Properties of the Sample Mean
SI&DA - Properties of the Spectrum, Spectral Density and Cross-Spectrum
SI&DA - Property of Multivariate Gaussian RVs
SI&DA - Property the Fisher Information Matrix for i.i.d. RVs
SI&DA - Recap of Previous Courses - Mind Map
SI&DA - Spectral Factorization
SI&DA - State Estimation - Mind Map
SI&DA - Summary of GM and LS estimator Properties
SI&DA - System Identification - Mind Map
SI&DA - Theorem 'Affine RV'
SI&DA - Theorem 'Covariance Function of a Stationary SP'
SI&DA - Theorem 'Independent or Uncorrelated Gaussian RVs'
SI&DA - Theorem 'Independent RVs are also Uncorrelated'
SI&DA - Theorem 'Law of Large Numbers'
SI&DA - Theorem 'Sequence of Unbiased Estimators'
SI&DA - Theorem 'The Cramer-Rao Bound'
SI&DA - Time Series Prediction
SI&DA - Time Shift Operator
SI&DA - Transformation of an SP
State Estimation Problem
UKF Algorithm
When to Choose the C-D EKF
When to Choose the C-D KF
When to Choose the EKF
When to Choose the KF
When to Choose the PF
When to Choose the UKF
Home
❯
Notes and Images
❯
SI&DA - Definition of 'Spectral Density'
SI&DA - Definition of 'Spectral Density'
Jul 31, 2024
1 min read
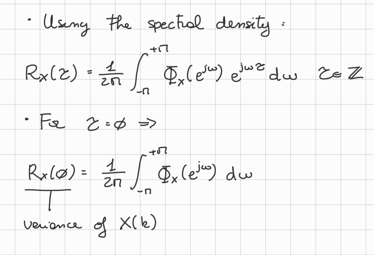
Definition of ‘Spectral Density’
Graph View
Backlinks
SI&DA - Recap of Previous Courses - Mind Map