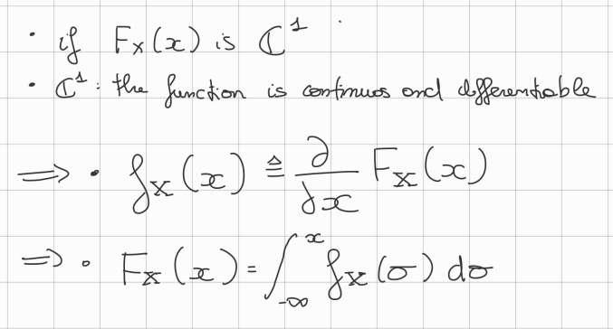
Definition of ‘PDF (Probability Density Function)’
Other Definition: DES - (PDF) Probability Distribution Function
→ SI&DA - Definition of ‘CDF (Cumulative Distribution Function)’

~ Ex.: Uniform PDF

~Ex.: Gaussian PDF (or Normal)

Search
Jul 31, 20241 min read
Other Definition: DES - (PDF) Probability Distribution Function
→ SI&DA - Definition of ‘CDF (Cumulative Distribution Function)’


