
Relationship between the RLS and the KF
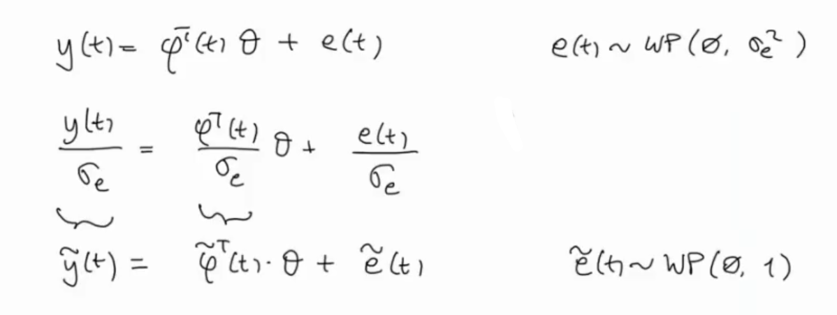
Simple problem:
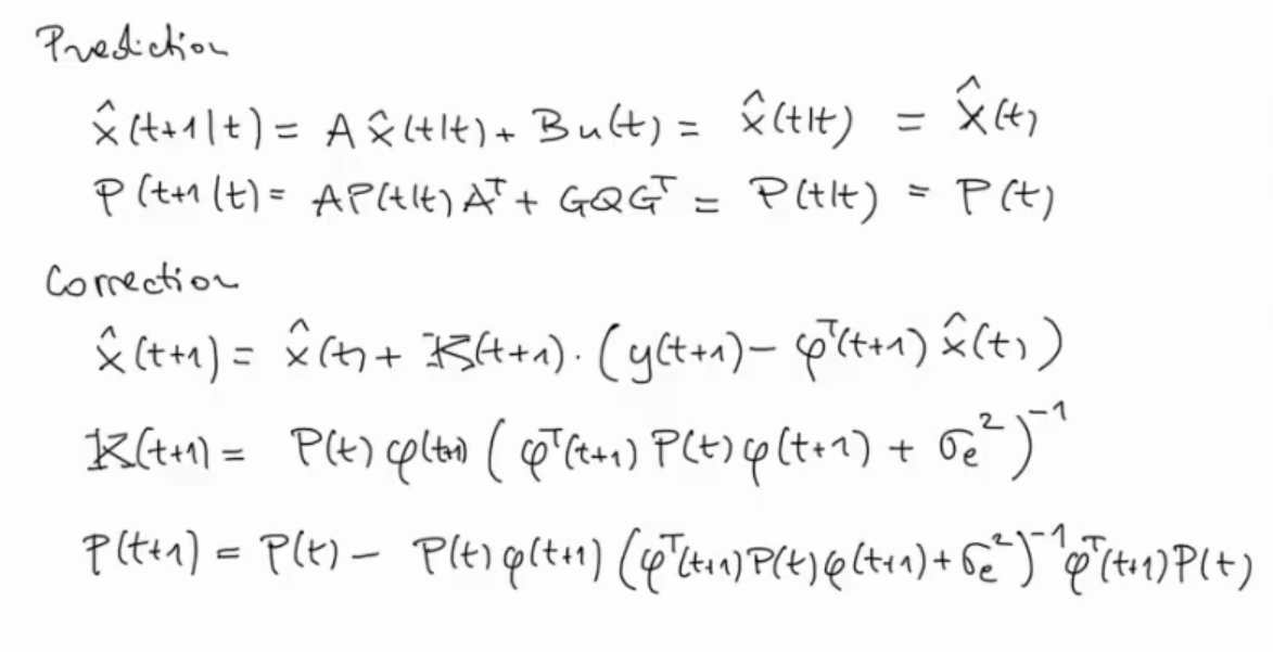
KF algorithm:
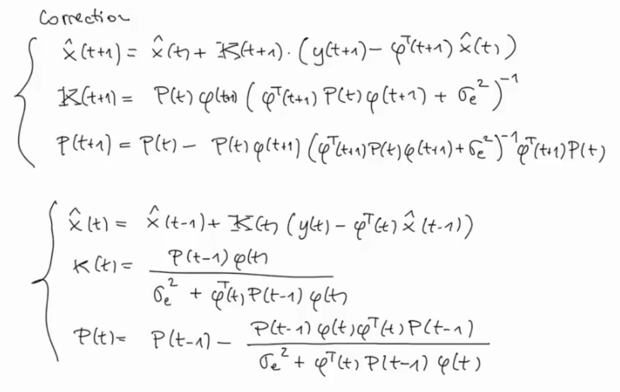
Correction step of the KF transformed to be really similar to the RLS algorithm:
Let’s make a little transformation:
With this little transformation we will obtain the RLS algorithm from the correction step of the KF algorithm.

==We can see the RLS as the KF algorithm applied to a specific problem==, where the state doesn’t change, in fact the parametric vector to identify the system (the original problem from which we obtained the RLS) must me constant.

Extension to other estimation problem:
-
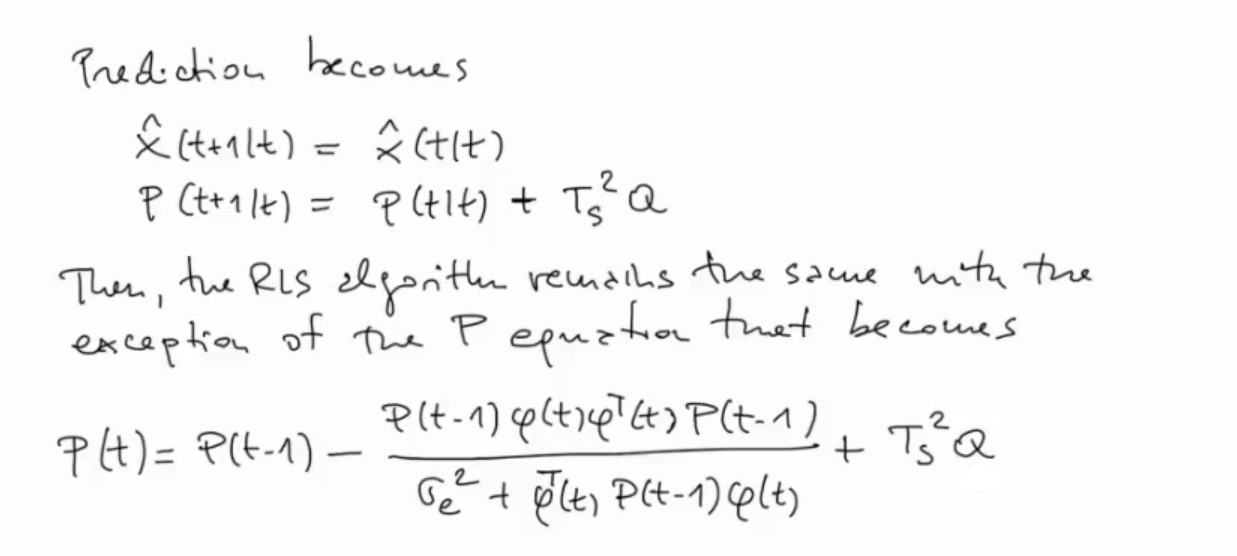
Slowly time-varying parameters:

-
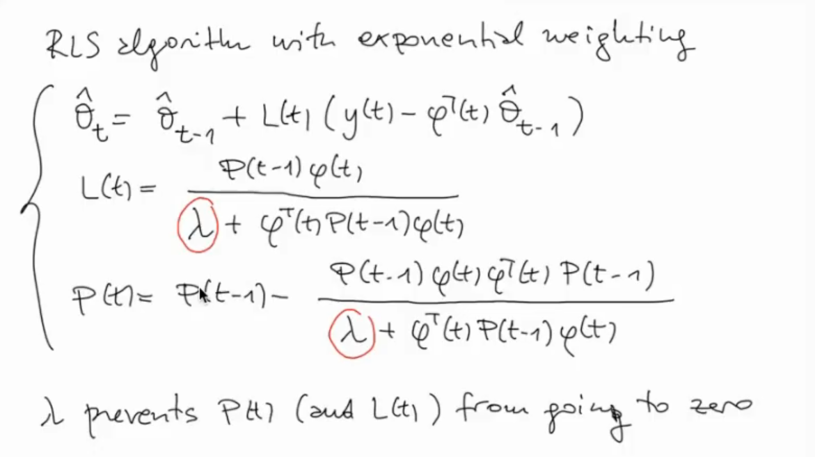
RLS with exponential data weighting
The idea is that older information is less useful, sometimes ever wrong old information might be outdated.
Typical values of :


NOTE: would mean that older information is more useful than new information. A smaller will increase the reactivity of the system to new information but it will also increase uncertainty, this is way we choose an exponential with value a little less than .