Variance:

Given a probability distribution, the variance is defined as:

  • The definition of expected value can be found here.

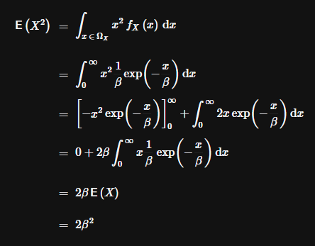
~Example: Variance of the Exponential Distribution:

Knowing that the expected value of the exponential distribution:

and,

Where was is our

then: