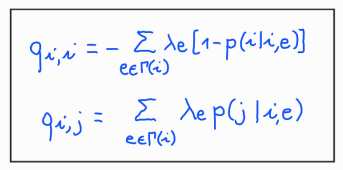
Given the Definition of ‘Stochastic Equivalence of Discrete-Event Models’, we have that:

Where:

And:

Why?
Links to knowledge used:
- DES - Definition of ‘Stochastic Timed Automata’
- DES - Definition of ‘Poisson Clock Structure’
- DES - Definition of ‘Stochastic Timed Automata with Poisson Clock Structure’
- DES - (PMF) Probability Mass Function
- DES - Definition of ‘State Holding Time’
- DES - Definition of ‘Transition Function Matrix for CTHMC’
