Arguments
Given:

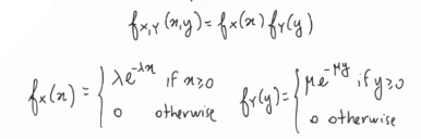
We have that:

Being both exponential distribution ( for ) and we only care about the first quadrant.
Also we know that: , are independent, so:

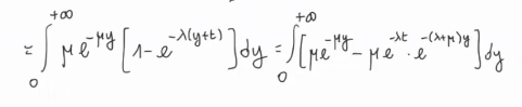
Which brings as to the demonstration:

It can also be written as:

And for we get:
