Arguments:
DES - Definition of โTransition Function Matrix for CTHMCโ
Summary: Declaration of and in respect to each other
Complete Demonstration Starting from:
We want to arrive at:
(Obtained from a solution to a Cauchy Problem) Where:
Summary: Check that the limit is actually equal to
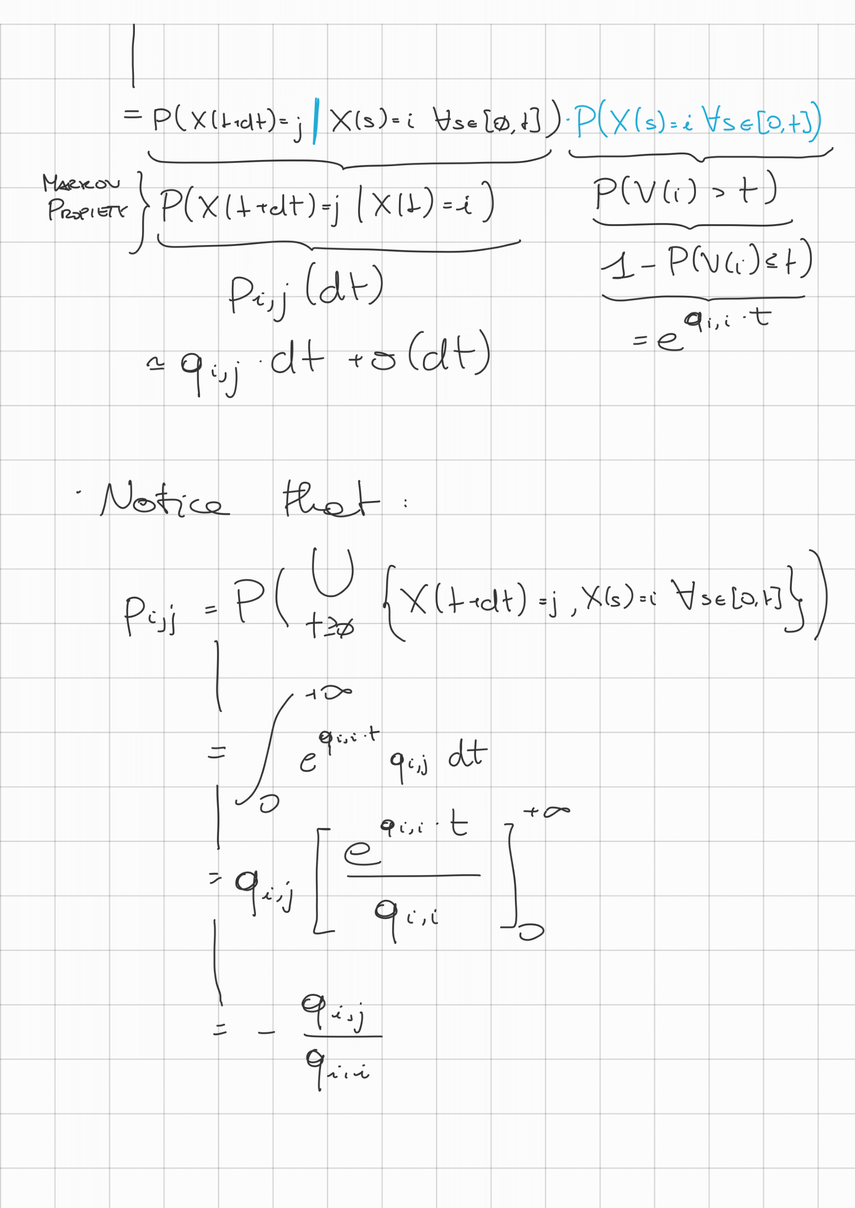
Complete Demonstration Starting from:
We want to arrive at:
Summary: Brake the Recursion of and
Complete Demonstration Starting from:
We want to arrive at:
Useful to know:
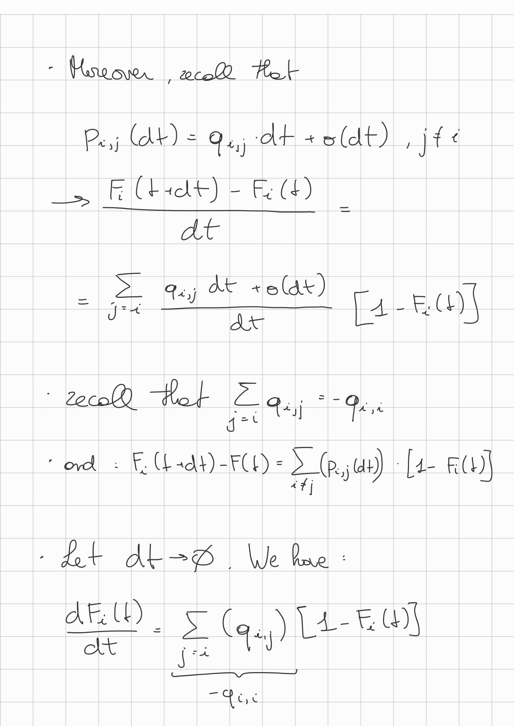
Note that the matrix describes the probability transitions from state to state , so the probability of changing state in time is equal to the sum of all rows of excluding because that is the probability of remaining in state .
Where:
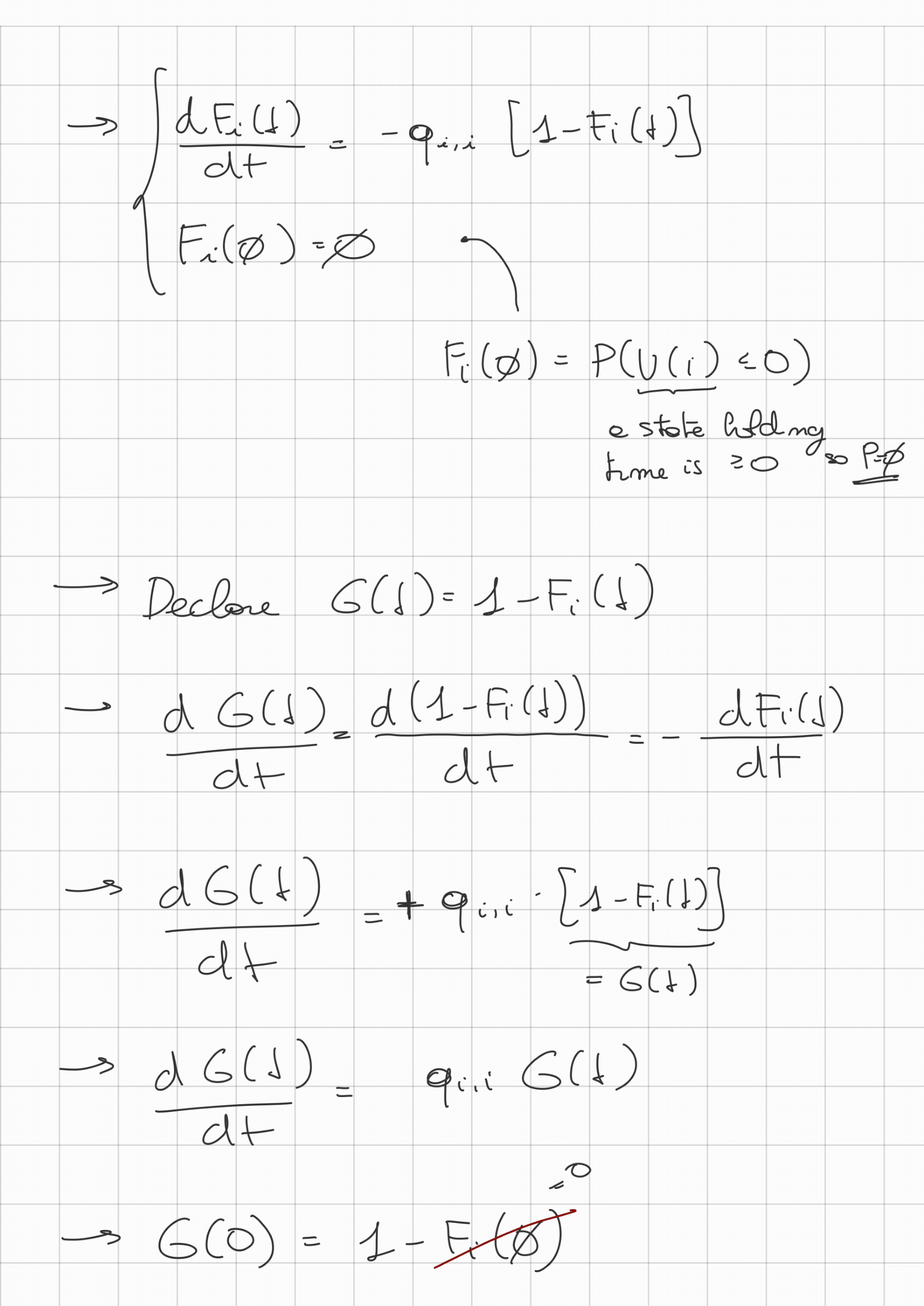
- cdf of state holding time of state
- State Holding Time of state
Summary: Compute from
Complete Demonstration Starting from:
We want to arrive at:
Useful to know:
NOTE: in this equations does NOT depend on time, when we write without the dependency on time, we are talking about the probability that the next event (whenever it will happen) will change the state from to
Declaration of and in respect to each other
Arguments:

Check that the limit is actually equal to
Arguments:

Brake the Recursion of and
Arguments:

We know that:
So we can say that:

Compute from
Arguments:
