Arguments:
DES - Exponential Distribution
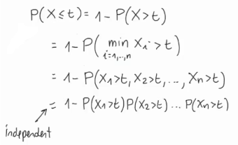
Given the event for
What is the distribution of ?

Now, remember that being an exponential distribution we have that:
So:
Which can be seen as:
So the distribution of the superposition is:
The superposition of , , …, has an exponential distribution with rate: