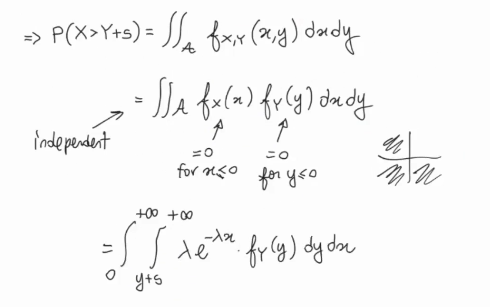
Arguments:
- ,
- where: denotes the pdf of .
- Moreover, let .

Also for the hypothesis we have that is always positive and so is (from the definition of the pdf of the exponential distribution). So we are interested only on the first quadrant, where it applies that

We can integrate from instead of because for as we can see from the graph before.
