🪴 Quartz 4.0

Search

SearchSearch
        • DES - All Exercises
        • DES - Analysis of Discrete Event Systems
        • DES - Analysis of Queuing Networks
        • DES - As-is and What-if Analysis
        • DES - Central Limit Theorem
        • DES - Chapman Kolmogorov Equation in Discrete Time
        • DES - Chapman-Kolmogorov Equation
        • DES - Characterization of Steady-State
        • DES - Classification of States of a DTHMC
        • DES - Classification of the States of a CTHMC
        • DES - Continuous Distributions
        • DES - Definition of 'Absorbing State'
        • DES - Definition of 'Chain'
        • DES - Definition of 'Closed Subset'
        • DES - Definition of 'Closed Subset' in Discrete Time
        • DES - Definition of 'Continuous Time Homogeneous Markov Chain (CTHMC)'
        • DES - Definition of 'Discrete Time Homogeneous Markov Chain (DTHMC)'
        • DES - Definition of 'Discrete-Event Dynamical System'
        • DES - Definition of 'Discrete'
        • DES - Definition of 'Domain of a Transition Function'
        • DES - Definition of 'Dynamical System'
        • DES - Definition of 'Dynamical'
        • DES - Definition of 'Ergodicity'
        • DES - Definition of 'Event'
        • DES - Definition of 'Expected Value'
        • DES - Definition of 'Extended Memory-Less Property'
        • DES - Definition of 'Feasible Event Sequence'
        • DES - Definition of 'Homogeneity'
        • DES - Definition of 'Independent Stochastic Process'
        • DES - Definition of 'Irreducible CTHMC'
        • DES - Definition of 'Irreducible DTHMC'
        • DES - Definition of 'Irreducible Subset'
        • DES - Definition of 'Irreducible Subset' in Discrete Time
        • DES - Definition of 'Limit State Probability Vector'
        • DES - Definition of 'Markov Process'
        • DES - Definition of 'Memory-Less Property'
        • DES - Definition of 'Period of a DTHCM'
        • DES - Definition of 'Periodic and Aperiodic States' in Discrete Time
        • DES - Definition of 'Poisson Clock Structure'
        • DES - Definition of 'Queuing Network'
        • DES - Definition of 'Queuing System'
        • DES - Definition of 'Reachable State'
        • DES - Definition of 'Reachable State' in Discrete Time
        • DES - Definition of 'Recurrent State or Transient State'
        • DES - Definition of 'Recurrent State or Transient State' in Discrete Time
        • DES - Definition of 'Score'
        • DES - Definition of 'State Automata with Output'
        • DES - Definition of 'State Automata'
        • DES - Definition of 'State Holding Time'
        • DES - Definition of 'State of a System'
        • DES - Definition of 'State-Holding Time' in Discrete Time
        • DES - Definition of 'Static System'
        • DES - Definition of 'Stochastic Equivalence of Discrete-Event Models'
        • DES - Definition of 'Stochastic Process'
        • DES - Definition of 'Stochastic Timed Automata with Poisson Clock Structure'
        • DES - Definition of 'Stochastic Timed Automata'
        • DES - Definition of 'Superposition'
        • DES - Definition of 'Timed Automata'
        • DES - Definition of 'Transition Function Matrix for CTHMC'
        • DES - Definition of 'Transition Function'
        • DES - Definition of 'Transition Rate Matrix Q'
        • DES - Definition of 'Variance'
        • DES - Definition of a 'Poisson Process'
        • DES - Definition of an 'Event-Driven System'
        • DES - Definition of an 'Time-Driven System'
        • DES - Demonstration of Poisson Process for the Probability of 0 Events Occurring in interval T
        • DES - Demonstration of the Chapman-Kolmogorov Equation
        • DES - Demonstration of the Exponential Distribution of the Superposition
        • DES - Demonstration of the Extended Memory-Less Property
        • DES - Demonstration of the First Property of the Transition Function Matrix
        • DES - Demonstration of the First Property of the Transition Rate Matrix Q
        • DES - Demonstration of the Second Property of the Transition Function Matrix
        • DES - Demonstration of the Second Property of the Transition Rate Matrix Q
        • DES - Demonstration of the State Holding Time for a Poisson Clock Structure
        • DES - Demonstration of the Third Property of the Transition Rate Matrix Q
        • DES - Demonstration on How to Calculate the Transition Rate Matrix Q
        • DES - Demonstration on How to Use the Superposition
        • DES - Demonstration on the Memory-Less Property of the Exponential Distribution
        • DES - Differences Between Time-Driven Dynamics and Event-Driven Dynamics
        • DES - Discrete Distributions
        • DES - Discrete Event Simulation
        • DES - Empirical CDF
        • DES - Estimation of Models of Discrete Event Systems
        • DES - Example of Queuing Systems
        • DES - Exponential Distribution
        • DES - Geometric Distribution
        • DES - Graphical Representation of CTHMC
        • DES - Graphical Representation of DTHMC
        • DES - Graphical Transition from Stochastic State Automata with Poisson Clock Structure to CTHMC
        • DES - Histograms and Empirical PDF
        • DES - Kendal's Notation
        • DES - Law of Large Numbers
        • DES - Lecture 7
        • DES - Lecture 9
        • DES - Lecture 10
        • DES - Lecture 13
        • DES - Lecture 14
        • DES - Little's Law
        • DES - Model of a State Automata
        • DES - Model of a Stochastic Timed Automata
        • DES - Model of a Timed Automata
        • DES - Monte Carlo Simulations
        • DES - Pasta Property
        • DES - Performance Indicators
        • DES - Poisson Distribution
        • DES - Random Number Generation
        • DES - Specification of Queuing Systems
        • DES - Steady States Analysis of DTHMCs
        • DES - Steady-State Analysis
        • DES - Steady-State Conditions for Queuing Systems
        • DES - Stochastically Equivalent CTHMC of a Discrete-Event Model
        • DES - Theorem 'Distribution of the State Holding Time for a Poisson Clock Structure'
        • DES - Theorem 'Ergodic CTHMC'
        • DES - Theorem 'Total Probability Rule'
        • DES - Theorem of 'Existence, Uniqueness and Consistency of the Limit State Probability Vector'
        • DES - Theorem of 'Existence, Uniqueness and Consistency of the Limit State Probability Vector' in Discrete Time
        • DES - Transient Analysis
        • DES - Transient Analysis in Discrete Time
        • DES - Uniform Distribution
        • DES - What are Discrete Systems
        • DES ~ exam 2021_12_18 - with solutions
        • DES ~ exam 2021_12_19 - with solutions
        • DES ~ exam 2021_12_20 - with solutions
        • DES ~ exam 2021_12_21 - with solutions
        • DES ~ exam 2021_12_22 - with solutions
        • DES ~ Example 'How to Calculate the Limit Probability Vector of a DTHMC'
        • DES ~ Example of a DTHMC
        • DES ~ Example of a FIFO Clock Structure
        • DES ~ Example of a RR Clock Structure
    Home

    ❯

    Notes and Images

    ❯

    DES - Definition of 'State-Holding Time' in Discrete Time

    DES - Definition of 'State-Holding Time' in Discrete Time

    Jul 31, 20241 min read

    State-Holding Time in Discrete Time


    Observation:

    DES - Geometric Distribution

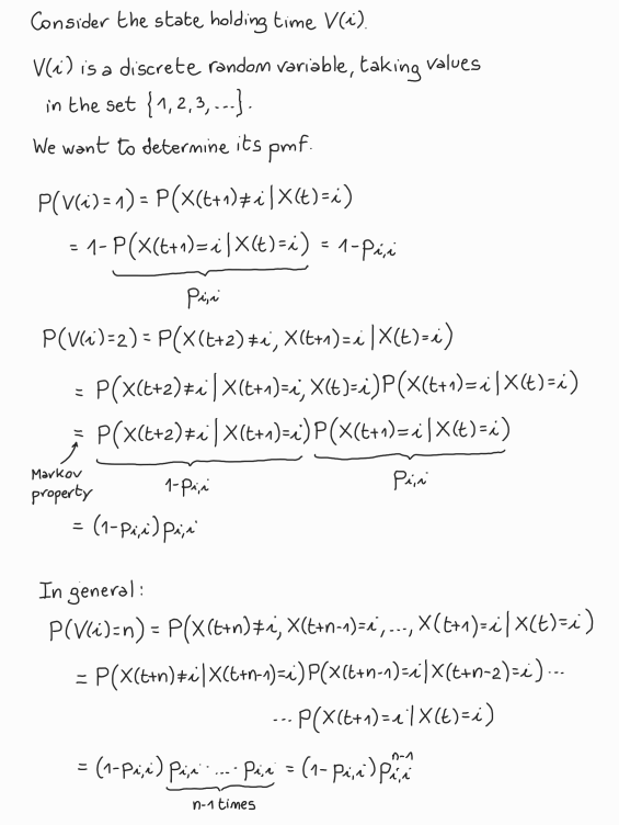
    Demonstration:


    Demonstration:



    Graph View

    • State-Holding Time in Discrete Time
    • Observation:
    • Demonstration:

    Backlinks

    • index

    Created with Quartz v4.2.4 © 2024

    • GitHub
    • Discord Community