Score:
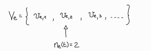
The score of event at time , denoted , is the number of total lifetimes of event used up to time .
- At time , the score is the index to the current position in the clock sequence of event

- It means that and have been used, whereas has not been used yet.
~Example:
