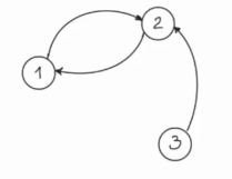
Reachable State:
State is reachable from state if for some
This condition is equivalent to the existence of an oriented path from to in the graph representation of the CTHMC
~Example:

State is reachable by and . State is reachable by and . State is NOT reachable by any other state.