🪴 Quartz 4.0

Search

SearchSearch
        • MMfE - All Exercises
        • MMfE - Calculate the Laurent Series or Laurent Expansion
        • MMfE - Cauchy Residue Theorem
        • MMfE - Cheatsheet 'Laplace Transform'
        • MMfE - Classification of Singularities
        • MMfE - Examples of Fourier Series
        • MMfE - Examples of Fourier Transform
        • MMfE - Examples of Laplace Transform
        • MMfE - Find the Abscissa of Convergence
        • MMfE - Find the Region of Holomorphicity
        • MMfE - Find the Singularities of the Laplace Transform
        • MMfE - Find the Types of Isolated Singularities
        • MMfE - Fourier Coefficients
        • MMfE - Fourier Series
        • MMfE - Holomorphic or Analytical Functions
        • MMfE - How to Sketch a Complex Curve
        • MMfE - How to Solve a Complex Limit
        • MMfE - How to Solve an Integral
        • MMfE - Is Laplace Transformable
        • MMfE - Jordan's Lemma
        • MMfE - Laurent Series
        • MMfE - Lp Spaces of Functions (Lebsgue Spaces)
        • MMfE - Multiplicity
        • MMfE - Properties of Holomorphic Functions
        • MMfE - Properties of the Fourier Transform
        • MMfE - Singularity Function
        • MMfE - Solve Differential Equations Using the Laplace Transformation
        • MMfE ~ exam_2020_06_10 - with solutions
        • MMfE ~ exam_2020_06_24 - with solutions
        • MMfE ~ exam_2020_07_15 - with solutions
        • MMfE ~ exam_2021_02_17 - with solutions
        • MMfE ~ exam_2021_06_25 - with solutions
        • MMfE ~ exam_2021_09_10 - with solutions
    Home

    ❯

    Notes and Images

    ❯

    MMfE - Properties of the Fourier Transform

    MMfE - Properties of the Fourier Transform

    Jul 31, 20241 min read

    • Mathematical_Methods_for_Engineering
    • Theorem

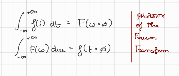
    Properties of the Fourier Transform

    Mathematical_Methods_for_Engineering Theorem


    Original File:


    Graph View

    • Properties of the Fourier Transform
    • Original File:

    Backlinks

    • index

    Created with Quartz v4.2.4 © 2024

    • GitHub
    • Discord Community