Contents:
#Mathematical_Methods_for_Engineering
#exercises_with_solutions
- Exercise 1
1.1.sketch_of_complex_curve
1.2.integral_of_holomorphic_functionresidual_theorem
- Exercise 2
2.1.Fourier_series
2.2.Fourier_series_convergence_type
- Exercise 3
3.1.Fourier_transform
3.2.properties_of_Fourier_transform
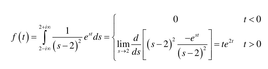
- Exercise 4 4.1.Laplace_transform 4.2.abscissa_of_convergence sketch_of_complex_curve
Questions

~Ex.: 2021_02_17 Point 1.

~Ex.: 2021_02_17 Point 2.

~Ex.: 2021_02_17 Point 3.

~Ex.: 2021_02_17 Point 4.

Original Files
