All Exercises (with Solutions) containing the “Laplace_transform” tag:
- MMfE ~ exam_2021_02_17 - with solutions
- MMfE ~ exam_2021_06_25 - with solutions
- MMfE ~ exam_2021_09_10 - with solutions
General Solution
Lets start by answering the question:
- “Is Laplace Transformable?”
If
→ is well-defined for all complex values of such that: .
More Reading: MMfE - Is Laplace Transformable
- The Laplace Transform is given by:
Where is the abscissa of convergence
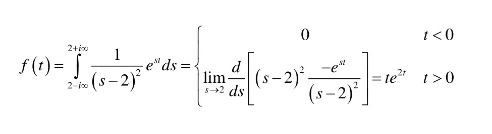
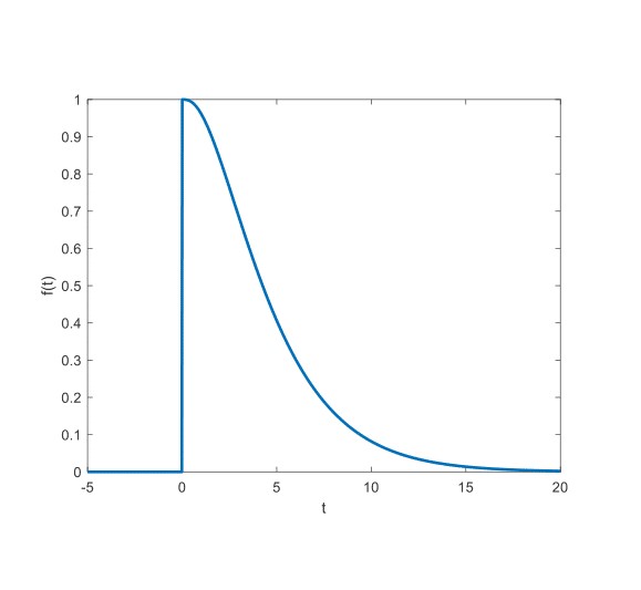
- The Inverse Laplace Transform is given by:
Where is the abscissa of convergence
MMfE - Cheatsheet 'Laplace Transform'
Cheat-Sheet
Link to original
~Ex.: 2021_02_17 Point 4.

~Ex.: 2021_06_25 Point 3.

~Ex.: 2021_06_25 Point 4.

~Ex.: 2021_09_10 Point 3.

~Ex.: 2021_09_10 Point 4.

