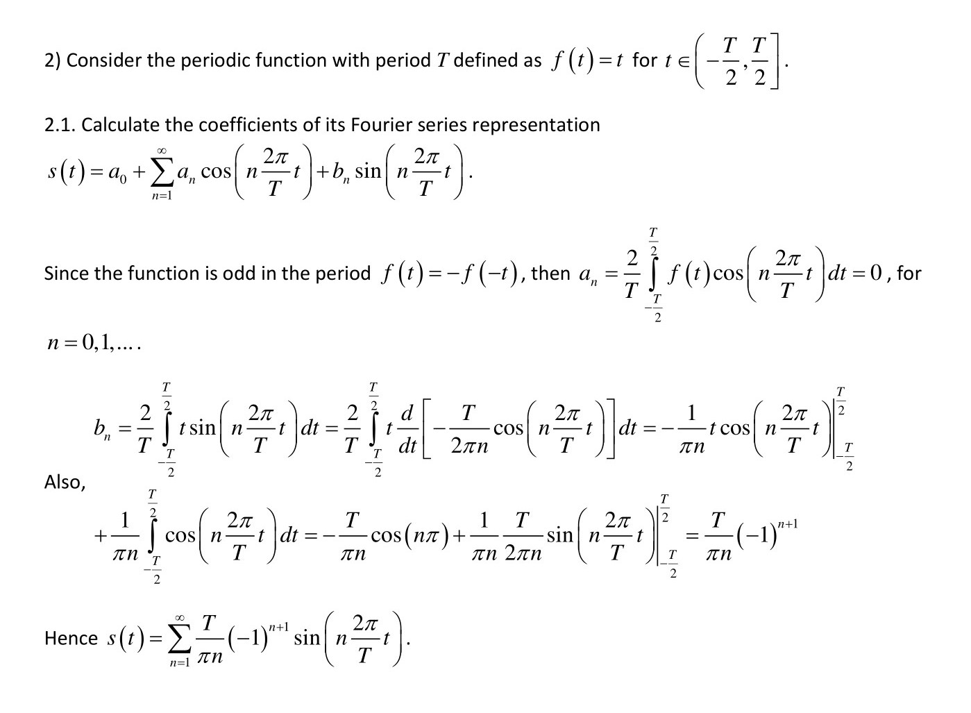
All Exercises (with Solutions) containing the “integral_of_holomorphic_function” or “residual_theorem” tag:
- MMfE ~ exam_2020_06_10 - with solutions
- MMfE ~ exam_2020_06_24 - with solutions
- MMfE ~ exam_2020_07_15 - with solutions
- MMfE ~ exam_2021_02_17 - with solutions
- MMfE ~ exam_2021_06_25 - with solutions
- MMfE ~ exam_2021_09_10 - with solutions
General Solution
Useful Knowledge
Cheat Sheet

MMfE - Cauchy Residue Theorem
Cauchy Residue Theorem
Mathematical_Methods_for_Engineering Theorem
Where:
- is holomorphic
- is a simple closed positively oriented contour
- are the poles of
NOTE:
- If the curve is defined in the ANTI-CLOCK wise sense then its .
- If the curve is defined in the CLOCK wise sense then its .
Residues:
is calculated as follows:
- If is outside the closed contour :
- If is inside , and is a simple pole (multiplicity = 1):
- If is inside , and is a complex pole of multiplicity = :
- [[MMfE - Holomorphic or Analytical Functions|What's an Holomorphic Function?]] - [[MMfE - Simple Closed Positively Oriented Contour|What's a Simple Closed Positively Oriented Contour?]] - [[MMfE - Poles of a Function|What are the Poles of a Function?]] - [[MMfE - Multiplicity|What's the Multiplicity?]]
Original File:
Pasted image 20220604185021.png IL LIBRO HA SBAGLIATO, C’È UN ERRORE NELL’ULTIMA FORMA! Integrals of holomorphic functions_220518_145829.pdf cauchy residue theorem_220518_160518.pdf
Link to original
MMfE - Jordan's Lemma
Jordan’s Lemma
Mathematical_Methods_for_Engineering Theorem
But instead of integrating on a closed curve we have:
Original File:
Differential Equations using Laplace Transform_220512_145931.pdf
Link to original
~Ex.: 2020_06_10 Point 1.
Link to original
~Ex.: 2020_06_10 Point 2.
Link to original
~Ex.: 2020_06_10 Point 3.
![]()
![]()
![]()
Link to original
~Ex.: 2020_06_10 Point 4
Link to original
~Ex.: 2020_06_24 Point 1.
Link to original
~Ex.: 2020_06_24 Point 2.
![]()
Link to original
~Ex.: 2020_06_24 Point 3.
![]()
Link to original
~Ex.: 2020_06_24 Point 4.
![]()
Link to original
~Ex. 2020_07_15 Point 1.
Link to original
~Ex. 2020_07_15 Point 2.
![]()
Link to original
~Ex. 2020_07_15 Point 3.
![]()
Link to original
~Ex. 2020_07_15 Point 4.
![]()
Link to original
Transclude of MMfE-~-exam_2021_02_17---with-solutions#ex-2021_02_17-point-1
Transclude of MMfE-~-exam_2021_02_17---with-solutions#ex-2021_02_17-point-2
Transclude of MMfE-~-exam_2021_02_17---with-solutions#ex-2021_02_17-point-3
Transclude of MMfE-~-exam_2021_02_17---with-solutions#ex-2021_02_17-point-4
~Ex.: 2021_06_25 Point 1.
Link to original
~Ex.: 2021_06_25 Point 2.
![]()
Link to original
~Ex.: 2021_06_25 Point 3.
Link to original
~Ex.: 2021_06_25 Point 4.
Link to original
MMfE ~ exam_2021_09_10 - with solutions
Contents: #Mathematical_Methods_for_Engineering #exercises_with_solutions
- Exercise 1 1.1.sketch_of_complex_curve 1.2.integral_of_holomorphic_functionresidual_theorem
- Exercise 2 2.1.region_of_holomorphicitytype_of_isolated_singularities 2.2.coefficients_of_Laurent_seriesregion_of_convergence
- Exercise 3 3.1.is_Laplace_transformableLaplace_transform 3.2.sketch_of_complex_curvecomplex_limitinitial_value_theorem
- Exercise 4 4.1.solve_differential_equation_using_Laplace_transform
Questions
~Ex.: 2021_09_10 Point 1.
![]()
~Ex.: 2021_09_10 Point 2.
![]()
~Ex.: 2021_09_10 Point 3.
![]()
~Ex.: 2021_09_10 Point 4.
![]()
Original Files
Link to original
![]()
![]()
![]()
![]()
![]()
![]()
~Ex.: 2021_09_10 Point 1.
![]()
Link to original
~Ex.: 2021_09_10 Point 2.
![]()
Link to original
~Ex.: 2021_09_10 Point 3.
![]()
Link to original
~Ex.: 2021_09_10 Point 4.
![]()
Link to original

.jpg)
.jpg)
-2.jpg)
.jpg)

















